Dec 01, 05 · There is considerable evidence that much of the linkage from cosmic ray flux (CRF) changes to clouds is via changes in the downward current density Jz in the global electric circuit This circuit responds to a variety of space weather inputs in addition to CRF changes, including polar cap ionospheric potential changes, solar energetic particle events, and relativistic electron fluxLet's see what IceTop sees and can measureA reduced cosmic ray flux, will in turn reduce the spallation of nitrogen and oxygen and with it the formation of 14 C On the other hand, 18 O/ 16 O reflects the temperature of the Indian ocean—the source of the water that formed the stalagmites (Graph from Neff et al,
Analytical Model For Estimating Terrestrial Cosmic Ray Fluxes Nearly Anytime And Anywhere In The World Extension Of Parma Expacs
Cosmic ray flux energy
Cosmic ray flux energy-Mar 22, 21 · For the bulk of the neutral gas in the Milky Way, ionization is governed by low energy cosmicrays (CRs), fastmoving protons or atomic nuclei and how much the cosmic ray flux varies betweenMeasurement of the Cosmic Ray Flux Introduction The surface of the earth is constantly being bombarded by a stream of subatomic particles known as cosmic rays These rays are mostly muons, and their flux and energy are high enough to contribute a significant amount to our average dose of ionizing radiation about 04 mSv (40 mrem)


Figure1 Cosmic Rays Track The Rotation Of The Milky Way Science
Physicists use the cosmicray flux, ie, the rate at which cosmic rays arrive at Earth for a given area and a given angle, to compare measurements from different detectors What does IceTop measure?Jun 05, · Galactic Cosmic Rays (GCR) are the slowly varying, highly energetic background source of energetic particles that constantly bombard Earth GCR originate outside the solar system and are likely formed by explosive events such as supernova These highly energetic particles consist of essentially every element ranging from hydrogen, accounting forWellington set for Cloudiest November ever, Seoul breaks Rainfall Record — "Cosmic Ray Flux" Explained November 19, November 19, Cap Allon Cloud cover is increasing across the planet as the Sun's magnetic field continues to weaken, decreasing the outward pressure of the solar wind and allowing more cosmic rays to penetrate
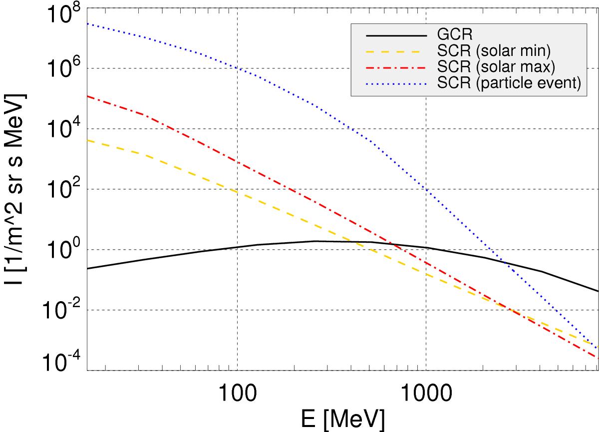
Apr 18, 13 · The ability to predict times of greater galactic cosmic ray (GCR) fluxes is important for reducing the hazards caused by these particles to satellite communications, aviation, or astronauts The 11year solar cycle variation in cosmic rays is highly correlated with the strength of the heliospheric magnetic field Differences in GCR flux during alternate solar cycles yield a 22The galactic propagation of cosmic ray strangelets is described and the resulting flux is calculated for a wide range of parameters as a prerequisite for strangelet searches in lunar soil and with an Earth orbiting magnetic spectrometer, AMS02 While the inherent uncertainties are large, flux predictions at a measurable level are obtained for reasonable choices of parameters if strangeInset) The flux and energy distribution of galactic protons reaching a planetary surface is modulated by the solar cycle (see The Sun)
T1 Cosmic ray flux variations, modulated by the solar and earth s magnetic fields, and climate changes T2 1 time interval from the present to 1012 ka ago (the Holocene Epoch) AUPerformance of the LAGO water Cherenkov detectors to cosmic ray flux Christian SarmientoCano, Mauricio SuárezDurán, Rolando CalderónArdila, Adriana VásquezRamírez, Andrei JaimesMotta, Sergio Dasso, Iván Sidelnik, Luis A Núñez, Hernán Asorey Submitted on 1027 SubjectsThus, it is no surprise that we find in our GSA Today paper (External PDF, local PDF or HTML) that Cosmic Ray Flux variations appear to be the largest driver


Extreme Cosmic Rays Reveal Clues To Origin Cern Courier


Spotted A Galactic Pevatron
3 COSMICRAY BACKGROUND FLUX MODELS Cosmic rays in or near the Earth's atmosphere consist of the primary and the secondary components The primary cosmic rays are generated in and propagate through extraterrestrial space The main component is known to be protons When primary particles penetrate into the air and interact with mol43 CosmicRay Muon Flux as SSW Proxy for Predicting Primary Dry Season Rainfall The assumption that an increase in the Cosmicray Muon flux (CMF) indicates stratospheric warming due to its positive correlation with the atmospheric effective temperature and that a decrease indicate cooling is central to our approachAltitude 1900 m) Forbush decreases are abrupt decreases of the background galactic cosmic ray intensity as observed by neutron monitors They are associated with major plasma and magnetic field enhancements in the solar wind at or


Cosmic Rays And Climate Sciencebits


Galactic Cosmic Ray Flux Decline And Periodicities In The
Aug 03, 17 · BREAKING NEWS Cosmic Ray Flux, GeoPolitical Unrest, Wars, and Earth Changing Events What I am about to tell you will need to be categorized as pseudoscience and I take full responsibility for publishing this report and I must address this asPropagation of Cosmic Rays through Air 21, Master Propagation Equation The cosmic ray flux at the top of the atmosphere consists roughly of 2500 proton/(m2 sec ster), about one tenth as many He nuclei, and roughly 1 per cent heavier nucleiIntegrated cosmic ray flux over this circular area for 4 Gyr is ~ 36x1026 In the case of the earth, the integrated cosmic ray flux through its corresponding cross section for 4 Gyr is 30x1022 The column density of the earth is ~ 28x1033 nucleons/cm2 Hence the 'luminosity' of cosmic rays hitting the sun is L sun ~ (8x1034/cm2)x(36x1026) ~


Hawc The High Altitude Water Cherenkov Observatory


Cosmic Rays And Global Warming T Sloan Lancaster
Flux intensity in this energy range is anticorrelated to the solar activity and follows the sunspot 11year cycle The correlation between the solar activity and the modulation of the cosmic rays flux has been studied by monitoring the flux of atmospheric neutronsDec 16, 15 · Considering the energy loss and nuclear interactions in the atmosphere, we assumed that the primary cosmic ray fluxes of particle i with energy E for solar modulation index W at atmospheric depth d, ϕ i,pri (E,d,W), can be expressed as follows (2) where ϕ i,1AU is the primary cosmic ray flux at 1 AU, as calculated using Eq , and its unit isMar 09, 15 · Isvalgaard– The Svensmark Effect isn't about TSI flux, it concerns sunspot activity/solar wind flux/Galactic Cosmic Ray (CGR) flux and its impact on cloud formation/Earth's Albedo CERN's CLOUD experiment showed GCRs are capable of nucleating inorganic compounds, which form cloud seeds and increased cloud formation


Cosmic Ray Wikipedia


Towards Understanding The Origin Of Cosmic Ray Electrons The Alpha Magnetic Spectrometer Experiment
Cutoff Rigidity = 124 GV;"Cosmic rays, whether natural or artificial, leave a trail of ions in the chamber," explains CLOUD spokesperson Jasper Kirkby, "but the Proton Synchrotron provides cosmic rays that can be adjusted over the full range of ionisation rates occurring in the troposphere, which comprises the lowest ten kilometres of the atmosphereMay 09, 18 · It is widely known that there is an inverse relationship between the solar wind and galactic cosmic rays (GCRs) A strong solar wind normally results in a drop in the GCR flux The "something extraordinary" referred to in the title of this article is that for the last several days this inverse relationship has gone missing


Atmosphere Free Full Text Study Of Galactic Cosmic Ray Flux Modulation By Interplanetary Plasma Structures For The Evaluation Of Space Instrument Performance And Space Weather Science Investigations Html


Constraints From The First Lhc Data On Hadronic Event Generators For Ultra High Energy Cosmic Ray Physics Cern Document Server
Galactic cosmic rays consist primarily of protons with an average flux of about 4 protons/cm 2 /s and a wide distribution of energies extending to many gigaelectronvolts (Figure 542;Cosmic ray muons are created when high energy primary cosmic rays interact with earths atmosphere Cosmic muon flux intensity corresponds directly with the atmospheric temperature at different pressures, altitudes and zenith anglesCosmic Ray Flux Model Description P M O'Neill NASA Johnson Space Center, Houston, Texas , USA S Golgey University of Houston, Houston, Texas , USA T C Slaba NASA Langley Research Center, Hampton, Virginia , USA National Aeronautics and Space Administration Johnson Space Center Houston, Texas March 15


Owl Introduction


Observation Of New Properties Of Secondary Cosmic Rays Lithium Beryllium And Boron The Alpha Magnetic Spectrometer Experiment
And the modulation of the cosmic rays flux has been studied by monitoring the flux of atmospheric neutrons • 8A flux of low energy neutrons (E ~ 10 109 eV) is produced in the interaction of primary CRs with the atmosphere and it is mostly due to low energy primaries (1 GeV), due to the rapid fall of the primary flux intensity with energyCosmic Ray Forbush Decreases (FDs) from Mt Washington Observatory data (N4430 E270;Sep 06, 17 · Cosmic rays accelerated in supernova remnants can only reach a certain maximum energy, which depends on the size of the acceleration region and the magnetic field strength However, cosmic rays have been observed at much higher energies than supernova remnants can generate, and where these ultrahighenergies come from is an open big question


File Compare Collision Rate Of Cosmic Rays With Colliders Svg Wikimedia Commons


Cosmic Ray Update New Results From The Moon Spaceweather Com
Here you are referred to the Particle Data Group's section on cosmic rays (Links to an external site), which describes that the cosmic ray flux at the earth's surface is approximately determined to be distributed as ~ cos2(q) Here the angle is the azimuthal angle, where 0 is in the verticle direction and the functional form complies with the expectation that rays incident vertically areMar 01, 18 · The radiation monitor made in situ measurements of the cosmic ray flux while also providing information about its energy spectrum We describe the monitor and present measurements which show a gradual 40% increase in count rate coinciding with the declining phase of the solar cycleMuons arrive at sea level with an average flux of about 1 muon per square centimeter per minute This is about half of the typical total natural radiation background Muons (and other particles) are generated within a coneshaped shower, with all particles staying within about 1 degree of the primary particle's path


Analytical Model For Estimating Terrestrial Cosmic Ray Fluxes Nearly Anytime And Anywhere In The World Extension Of Parma Expacs


Cosmic Ray Flux As A Function Of Energy Showing The Famous Knee Download Scientific Diagram
Sep 02, 15 · In particular, a weak magnetic field results in a high flux of Galactic cosmic rays that extends to the top of the planetary atmosphere We wish to quantify the flux of Galactic cosmic rays to an exoplanetary atmosphere as a function of the particle energy and ofGalactic cosmic rays (GCR) are highenergy charged particles that enter the solar system from the outside, the flux of which becomes modulated in anticorrelation with solar activity due to the solar wind They are composed of protons, electrons, and fully ionized nuclei There is a continuous and isotropic flux of GCR ionsCosmic ray flux is the number of events/m^2/60 seconds that pass through the particle detector Flux data will be taken, analyzed, and compared from five different locations within the US that have different latitudes The cosmic ray flux rates will be greater at latitudes near the poles than at those near the equator


Cosmic Ray Wikipedia


What Is Expacs Expacs Represents Excel Based Program For Calculating Atmospheric Cosmic Ray Spectrum It Can Instantaneously Calculate Terrestrial Cosmic Ray Fluxes Of Neutrons Protons Ions With Charge Up To 28 Ni Muons Electrons Positrons
Oct 27, 16 · 1 Introduction Cosmic ray (CR) flux usually varies with solar activity, both on short and long timescales The long timescale‐varying background of CRs is the galactic cosmic ray (GCR) component, while the short timescale abrupt variations show the solar energetic particle (SEP) component produced by solar events, such as solar flares and coronal mass ejectionsCosmic ray is the term given to high energy radiation which strikes the Earth from space Some of them have ultrahigh energies in the range 100 1000 TeV Such extreme energies come from only a few sources like Cygnus X3 The peak of the energy distribution is at about 03 GeVEnglish The flux of cosmic ray particles as a function of their energy The flux for the lowest energies (yellow zone) are mainly attributed to solar cosmic rays, intermediate energies (blue) to galactic cosmic rays, and highest energies (purple) to extragalactic cosmic rays


Flux Of Cosmic Ray Particles As A Function Of Their Energy At The Top Download Scientific Diagram


Atmospheric Neutrinos And The Knee Of The Cosmic Ray Spectrum
The atmospheric abundance of 81 Kr is a global integrator of cosmic rays It is insensitive to climate shifts, geographical variations, and short‐term solar cycle activity, making it an ideal standard to test models of cosmic‐ray flux on the time scale of 10 5 years Here we present the first calculation of absolute 81 Kr production rates in the atmosphere, and a measurement of the atmospheric 81Apr 16, 17 · As both the flux and the energy spectrum of cosmic rays are known to be modulated by the interplanetary magnetic field, which in turn is strongly influenced by the magnetic field of the Sun, it is feasible that cosmic rays provide the link whereby solar activity affects the global climate (Svensmark,1998)Mar 15, 09 · Cosmic Ray Flux With every additional passing month of solar pacifism, the closer we get to the brink of another Dalton Minimum – or worse And with the blatant bandwagon jumping of our collective politicians – we are completely unprepared for a cooling climate


A Shifting Shield Provides Protection Against Cosmic Rays


Cosmic Rays In Star Forming Galaxies Astromev
Cosmic Rays Flux Monitor With a scintillation detector and a PMT we constantly monitor the cosmic rays flux (mainly muons) The detector has the following data Area Detector = 119 cm 2 Normal Cosmic Ray Flux= 0,019 particles/s cm² Expected Measured Flux 119 cm 2 x 0,019 particles/s cm 2 = 2,261 particles/s = 136 cpmOct 01, · Cosmic ray muon flux is measured by the coincidence technique using plastic scintillation detectors in the High Energy Physics detector laboratory at Bose Institute, Kolkata Due to the COVID19 outbreak and nationwide complete lockdown, the laboratory was closed from the end of March till the end of May After lockdown, although the city is not in its normalCosmic rays are energetic particles that originate in space and our sun and collide with particles as they zip through our atmosphere While they come from


What S The Link Between Cosmic Rays And Climate Change


Plos One Analytical Model For Estimating The Zenith Angle Dependence Of Terrestrial Cosmic Ray Fluxes
The begin time of an xray event is defined as the first minute, in a sequence of 4 minutes, of steep monotonic increase in 0108 nm flux The xray event maximum is taken as the minute of the peak xray flux The end time is the time when the flux level decays to a point halfway between the maximum flux and the preflare background levelPrimary cosmic rays are difficult to observe but their byproducts, muons, are being studied extensively Muons are formed by reactions with air molecules in our atmosphere The constantly changing air pressure in our atmosphere presents a testable environment to study how pressure affects cosmic ray flux


Cosmic Rays


Owl Introduction


Cosmic Rays Astroparticle Physics


Galactic Cosmic Ray Variability At Two Neutron Monitors Relation To Kp Index


Galactic Cosmic Rays On Extrasolar Earth Like Planets I Cosmic Ray Flux Nasa Ads


Hawc The High Altitude Water Cherenkov Observatory


Cosmic Radiation Induced Software Electrical Resets In Icds During Air Travel Heart Rhythm


Cosmic Ray Blues Electromagnetic Shower Malagabay


Figure1 Cosmic Rays Track The Rotation Of The Milky Way Science


Ams 02 Provides A Precise Measure Of Cosmic Rays Cern Courier


Varying Cosmic Ray Flux May Explain Cycles Of Biodiversity Physics Today Vol 60 No 10


Muon Radiation Dose And Marine Megafaunal Extinction At The End Pliocene Supernova Biorxiv


Cosmic Rays


The Flux Of Cosmic Ray Particles Eniscuola


Cosmic Rays


Cosmic Rays Corsap


Cosmic Ray Physics Peter Meszaros


Cosmic Ray Energies Cosmos


H E S S The High Energy Stereoscopic System


Carmelo Evoli Interstellar Turbulence And Cosmic Ray Flux The Two Big Power Laws In The Sky By Jokipii


Updated Cosmic Ray Spectrum


Generalized Statistical Mechanics Of Cosmic Rays Application To Positron Electron Spectral Indices Scientific Reports


Poster Smoky Mountain Cosmic Ray Flux Altitude Study


Cosmic Rays And Climate Sciencebits


Galactic Cosmic Rays An Overview Sciencedirect Topics


Cosmic Rays


Gamma Rays From Clusters And Groups Of Galaxies Cosmic Rays Versus Dark Matter Arxiv Vanity


Cosmic Ray Modulation And Radiation Dose Of Aircrews During The Solar Cycle 24 25 Miyake 17 Space Weather Wiley Online Library


Atmosphere Free Full Text Study Of Galactic Cosmic Ray Flux Modulation By Interplanetary Plasma Structures For The Evaluation Of Space Instrument Performance And Space Weather Science Investigations Html


Sources Of Cosmic Rays E G Berezhko Yu


Primary Cosmic Ray Proton Flux Used In The Simulations Download Scientific Diagram


Precision Measurement Of Cosmic Ray Nitrogen And Its Primary And Secondary Components The Alpha Magnetic Spectrometer Experiment


The Flux Of Cosmic Rays As A Function Of The Energy Over A Very Broad Download Scientific Diagram


Figure 2 Impact Of The Inelastic Proton Nucleus Cross Section On The Prompt Neutrino Flux Springerlink


Cr Energy Spectrum Icecube Masterclass


Cosmic Ray Modulation And Radiation Dose Of Aircrews During The Solar Cycle 24 25 Miyake 17 Space Weather Wiley Online Library


Primary Cosmic Ray Flux Results Of Some Experiments For The Download Scientific Diagram


Generalized Statistical Mechanics Of Cosmic Rays Application To Positron Electron Spectral Indices Scientific Reports


Quantum Diaries


Measurement Of The Cosmic Ray Proton Spectrum From 40 Gev To 100 Tev With The Dampe Satellite Science Advances


Measuring Cosmic Rays Icecube Masterclass


Wellington Set For Cloudiest November Ever Seoul Breaks Rainfall Record Cosmic Ray Flux Explained Electroverse


Cosmic Ray


Figure 3 From Influence Of Cosmic Rays On Earth S Climate Semantic Scholar


What S The Link Between Cosmic Rays And Climate Change


Russian Scientists Dismiss Co2 Forcing Predict Decades Of Cooling Connect Cosmic Ray Flux To Climate


Data Driven Model Of The Cosmic Ray Flux And Mass Composition From 10 Gev To 10 11 Gev Heap Arxiver


Ultra High Energy Cosmic Rays Have Extragalactic Origins Astronomy Sci News Com


Professor Quibb Cosmic Rays 3


Impact Of Lhc Run 1 On Particle Astrophysics Cern Document Server


Ionization Of Protoplanetary Disks By Galactic Cosmic Rays Solar Protons And Supernova Remnants Sciencedirect


Poster Smoky Mountain Cosmic Ray Flux Altitude Study


Cosmic Ray Failures Of Power Semiconductor Devices Ieee Spectrum


H E S S The High Energy Stereoscopic System


Yes Our Sun Does Emit Cosmic Rays


Cosmic Rays


H3 The Ideal Probe For In Situ Measurement Of The Galactic Cosmic Rays Philosophical Transactions Of The Royal Society A Mathematical Physical And Engineering Sciences


Qddynthe3r98rm


Henrik Svensmark Wikiwand


Cosmic Ray Flux Measurement At Gsu


Ultra High Energy Cosmic Radiation Ppt Download


Precision Cosmic Ray Data Challenge A Paradigm Physics Today Vol 64 No 5


Ultrahigh Energy Cosmic Rays Traced To Hotspot Quanta Magazine


New Measurements From The Ams Experiment Unveil New Territories In The Flux Of Cosmic Rays


Badhwar O Neill 10 Galactic Cosmic Ray Flux Model Revised Semantic Scholar


Probing Theories With Cosmic Rays


The Photon Spotlight On Um Physics Research


Cosmic Rays From The Telescope Array Astrobites


Measuring Cosmic Rays Icecube Masterclass


Cosmic Rays


Pamela Measurements Of Cosmic Ray Proton And Helium Spectra Science


2 The Primary Cosmic Ray Flux 3 The Data Are Scaled With E 2 5 The Download Scientific Diagram


Solar Cosmic Rays An Overview Sciencedirect Topics


Cosmic Rays Flux T Error Bass Agenda Recordings


0 件のコメント:
コメントを投稿